ВВЕДЕНИЕ
Хирургическое лечение стриктур уретры (СУ) является одной из сложнейших задач реконструктивной урологии на современном этапе. Учитывая распространенность СУ у мужчин,которая сoставляет 229627 случаев на 100 000 мужского населения и увеличение числа различных операций при СУ, необходимость правильного выбора тактики лечения данного заболевания становится все более очевидной [1-3]. В настоящее время СУ рассматривается как полиэтиологическое заболевание, в основе патогенеза которого лежит сужение просвета уретры вследствие спонгиофиброза в области уретральной слизистой и губчатого тела уретры [4].
Несмотря на наличие множества методов лечения СУ, начиная от малоинвазивных до заместительной уретропластики с использованием тканеинженерных конструкций, проблема рецидивирования стриктуры остается нерешенной. Частота наступления рецидивов после оперативного лечения СУ, по данным различных авторов колеблется от 15,6 до 36,4% и может существенно увеличиваться в отдаленном периоде наблюдения [5, 6].
Для улучшения результатов оперативного лечения СУ основополагающим моментом является знание предикторов риска неудачи.
МАТЕРИАЛЫ И МЕТОДЫ
В исследование, которое носило ретропроспективный характер, включены данные 206 пациентов мужского пола, которые были оперированы в период с января 2010 по декабрь 2019 гг. по поводу СУ на базе клиники урологии ИПК и ПКЗ «Белорусский государственный медицинский университет» (урологические отделения № 1 и № 2 УЗ «Минская областная клиническая больница»). Пациенты были разделены на 3 подгруппы в зависимости от типа выполненной операции: внутренней оптической уретротомии (ВОУ) (n=114), анастомотической уретропластики (n=52), заместительной буккальной уретропластики (n=40) (рис. 1).
Рис. 1. Дизайн исследования
Fig.1. Research design
Методика ВОУ заключалась в рассечении узкой части уретры «холодным ножом» на 12 часах условного циферблата по классической методике H. Sachse и последующей установке уретрального катетера на срок до 3 суток [7].
Анастомотическая уретропластика выполнялась посредством удаления суженной части уретры и наложении анастомоза «конец в конец» и дополнялась спатуляцией проксимального и дистального краев уретры, после чего устанавливался силиконовый уретральный катетер Фолея 16 Сh на 14 суток.
Техника букальной уретропластики заключалась в замещении суженной части мочеиспускательного канала фрагментом слизистой оболочки ротовой полости, с тремя вариантами расположения графта (ventral onlay, dorsal onlay, dorsal inlay), устанавливался силиконовый уретральный катетер Фолея 16 Сh на 14-21 суток.
Методы статистического анализа групп. Статистическая проверка сравниваемых групп по возрасту проводилась по критерию Краскела-Уоллиса. Проверка групп на однородность осуществлялось согласно критерию Колмогорова-Смирнова. Для дихотомических данных использовался критерий χ2. Оценка по методу Каплан-Майера была выполнена для оценки времени наступления рецидива в сравниваемых группах.
Однофакторный и многофакторный регрессионный анализ проводился для оценки влияния различных факторов на наступление рецидива.
ROC-анализ выполнялся для определения значения протяженности, являющейся предиктором наступления рецидива СУ.
С целью представления параметрических данных использовалась запись X̅±1,96×SD, X̅±1,96×SE, а также X̅ (min; max), для непараметрических данных – в виде Me50% [LQ25%; UQ75%].
Статистически значимыми считались отличия при p<0,05.
Обработка полученных данных проводилась с применением программ Statistica 10 (StatSoft, Inc. (2011) США, лицензионный номер STA999K347156-W), ROC-анализ рассчитывался с использованием программы MedCalc (Версия 14.8.1).
РЕЗУЛЬТАТЫ
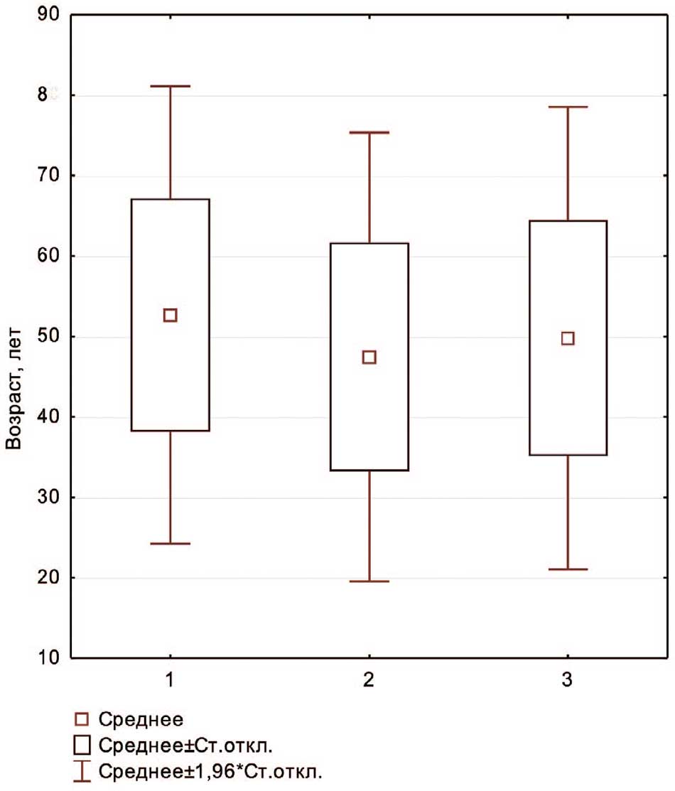
При проведении сравнительной оценки трeх групп пациентов (n=206 пациентов) по возрасту на однородность по методу Краскела-Уоллиса, получены данные H=4,91, p=0,08, свидетельствующие, что группы однородны (рис. 2).
Рис. 2. Cравнение групп пациентов по возрасту на однородность
1 – ВОУ, 2 – анастомотическая уретропластика, 3 – заместительной буккальной уретропластики
Fig. 2. Comparison of patient groups by their age for homogeneity
1 – VIU, 2 – anastomotic urethroplasty, 3 – substitutional buccal mucosa urethroplasty
В ходе исследования производилась оценка влияния следующих факторов: возраст, давность появления симптомов заболевания до оперативного лечения, этиология, первичный или рецидивный характер СУ, проходимость уретры, число предшествовавших операций, локализация, протяженность, характер СУ, процент успеха после оперативного лечения. Полученные данные демонстрируют статистические различия по числу рецидивов в группах ВОУ и анастомотической уретропластики (χ2=7,66; p=0,006), а также при сравнении группы анастомотической уретропластики и буккальной пластики (χ2=3,95; p=0,047).
При анализе пациентов по возрасту группировка характеризуется нормальным распределением согласно критерию Колмогорова-Смирнова (рис. 3), следовательно выборка однородна. Возраст пациентов (X̅±1,96×SD), составил 50,80±28,56 лет.
Полученные данные свидетельствуют, что пациенты значимо не отличались по возрасту. Однако было отмечено, что группа пациентов, которым выполнялась заместительная буккальная уретропластика, характеризовалась более длительным анамнезом, имели большее количество перенесенных операций, а также большую протяженность стриктуры уретры (5,36±0,41см) (табл. 1).
Таблица 1. Сравнительный анализ групп пациентов
Table 1. Comparison of patient groups
| Группа Group | 1 ВОУ VIU | 2 Анастомотическая уретропластика Anastomotic urethroplasty | 3 Буккальная уретропластика Buccal mucosa urethroplasty |
|---|---|---|---|
| Количество пациентов Number of patients | 114 | 52 | 40 |
| Число операций по поводу СУ в анамнезе History of number of surgeries for US X̅ (min; max) | 1,65 (1,00; 6,00) | 1,98 (1,00; 5,00) | 3,1 (1,00; 9,00) |
| Возраст, лет Age of patients, years, (X̅±1,96×SD) | 52,68±28,44 | 47,46±27,89 | 49,80±28,75 |
| Давность появления симптомов до операции, мес./Time of symptoms before operation, months (X̅±1,96×SE) | 40,42±8,35 | 44,96±13,07 | 64,55±16,66 |
| Протяженность стриктуры, см Length of stricture, cm (X̅±1,96×SE) | 1,35±0,16 | 2,03±0,15 | 5,36±0,41 |
| Время наступления рецидива, мес. Time to recurrence, months (X̅±1,96×SE) | 6,07±2,41 | 2,75±2,37 | 2,7±1,65 |
Анализ ближайших результатов оперативного лечения СУ (время наблюдения <12 месяцев) показал, что процент успеха составил 70,18% у пациентов после ВОУ, 84,62% – после анастомотической уретропластики, 65,00% – в группе буккальной пластики (рис. 4). При анализе отдаленных результатов хирургического лечения (≥12 месяцев) у 206 пациентов трех групп наблюдения, максимальная результативность выявлена после анастомотической уретропластики – в 76,92%, далее следовали буккальная пластика уретры – в 57,50% и ВОУ – в 54,39% случаев соответственно (рис. 4). Сравнительно невысокая результативность ВОУ обусловлена необходимостью выполнения метода при рецидивных стриктурах уретры у пациентов с ранее имевшим место неуспехом предшествовавшей операции, а не только в качестве основного метода лечения.
Рис. 3. Анализ распределения пациентов по возрасту
Fig. 3. Analysis of the patients’ age in three groups
Доминирующей локализацией стриктуры уретры в исследуемой группе являлся бульбозный отдел уретры, изолированно – у 112 (54,37%) пациентов и в сочетании с другими отделами – у 36 (17,48%) пациентов. По данным многоцентрового исследования G. Barbagli и соавт., которое включало различные техники лечения стриктур бульбозной уретры, общий процент успеха составил 73,8% (с разницей от 14,3% до 87,5% в зависимости от применяемого метода) [8].
Рис. 4. Результаты лечения пациентов в ближайшем и отдаленном периоде
Fig. 4. Short-term and long-term results of surgical treatment
Анализ времени наступления рецидива в нашем исследовании у пациентов трех групп по методу Каплан-Майера, не продемонстрировал значимой разницы во временном интервале. Среднее время наступления рецидива в группе ВОУ составило 6,07±2,41 месяцев, после анастомотической пластики – 2,75±2,37 месяцев, после буккальной пластики – 2,71±1,65 месяцев (рис. 5). При этом у 70,37% пациентов отмечено наступление рецидива в течение первых 12 месяцев наблюдения.
Рис. 5. Сравнительный анализ времени наступления рецидива с использованием метода Каплан-Майера
Fig. 5. Comparative analysis of recurrence time using the Kaplan-Meier
Для определения предикторов наступления рецидива в различных группах проводился однофакторный и многофакторный регрессионный анализ. Полученные данные позволили выявить следующие факторы рецидива стриктуры уретры у мужчин (табл. 2–4):
- после ВОУ: протяженные (p=0,037), многофокусные (p=0,039), рецидивные (p=0,016) стриктуры, увеличение числа предшествовавших операций (p=0,041), этиологический фактор СУ (p=0,042);
- после анастомотической уретропластики: локализация СУ (p=0,044), облитерация уретры (p=0,018);
- в группе заместительной буккальной пластики: возраст пациента (p=0,005), многофокусный тип СУ (p=0,014).
Анализ остальных факторов не выявил значимого влияния на риск наступления рецидива стриктуры уретры.
Что касается иных предикторов, за исключением выявленных в нашем исследовании, согласно R. Pallares-Méndez и соавт., значимыми факторами наступления рецидива являлись протяженность стриктуры
⩾2 см (p=0,024), индекс массы тела (ИМТ) (BMI) >25 кг/м2 (p=0,021), Qmax<15 мл/c после удаления катетера Фолея (χ2=14,87, p<0,001) [9].
Согласно A.M. Harraz и соавт., старший возраст пациентов (OR= 1,017; p=0,03), ожирение (OR =1,664; p=0,015), а также идиопатическая этиология стриктуры (OR=3,107; p=0,035) названы предикторами неэффективности ВОУ [10].
По данным O. Shalkamy и соавт., которые проводили многофакторный анализ оценки факторов рецидивирования после выполнения заместительной буккальной пластики с использованием положения графта по методике «dorsal onlay», независимыми факторами наступления рецидива выступали воспалительная этиология (HR: 9,13; 95% CI: 3,50, 23,81; p<0,001), первичная уретропластика (HR: 8,81; 95% CI: 3,26, 23,86; p<0,001), локализация стриктуры в пенильном отделе уретры (HR: 3,09; 95% CI: 1,10, 8,71; p=0,033), и протяженность CУ>4,5 cm (HR: 6,83; 95% CI: 1,69, 27,62; p=0,007) [11].
Таблица 2. Результаты однофакторного и многофакторного регрессионного анализа в группе ВОУ
Table 2. Results of univariate and multivariate regression analysis after VIU
| n=114 | Однофакторный регрессионный анализ Univariate regression analysis | Многофакторный регрессионный анализ Multivariate regression analysis | |
|---|---|---|---|
| Среднее (95% ДИ) Mean (95% CI) | p | p | |
| Возраст Age | 52,68 (49,98-55,37) | 0,826 | 0,239 |
| Этиология Etiology | 2,93 (2,61-3,25) | 0,135 | 0,042 |
| Локализация Localization | 4,23 (3,82-4,64) | 0,087 | 0,903 |
| Протяженность стриктуры Length of stricture | 1,35 (1,18-1,52) | 0,037 | 0,068 |
| Число предшествовавших операций Number of previous operations | 1,65 (1,46-1,84) | 0,041 | 0,915 |
| Одиночная/ Многофокусная Single/multifocal | 1,12 (1,06-1,18) | 0,039 | 0,578 |
| Первичная/ Рецидивная Primary/recurrent | 1,47 (1,38-1,57) | 0,016 | 0,093 |
| Стриктура/ Облитерация Stricture/obliteration | 1,05 (1,01-1,09) | 0,539 | 0,835 |
Таблица 3. Результаты однофакторного и многофакторного регрессионного анализа в группе анастомотической уретропластики
Table 3. Results of univariate and multivariate regression analysis in the anastomotic urethroplasty group
| n=52 | Однофакторный регрессионный анализ Univariate regression analysis | Многофакторный регрессионный анализ Multivariate regression analysis | |
|---|---|---|---|
| Среднее (95% ДИ) Mean (95% CI) | p | p | |
| Возраст Age | 47,46 (43,49–51,42) | 0,607 | 0,636 |
| Этиология Etiology | 2,27 (2,03–2,50) | 0,635 | 0,901 |
| Локализация Localization | 3,42 (3,15-3,69) | 0,044 | 0,190 |
| Протяженность стриктуры Length of stricture | 2,03 (1,88-2,18) | 0,189 | 0,196 |
| Число предшествовавших операций Number of previous operations | 1,98 (1,69-2,28) | 0,944 | 0,694 |
| Первичная/ Рецидивная Primary/recurrent | 1,65 (1,52-1,79) | 0,435 | 0,999 |
| Стриктура/ Облитерация Stricture/obliteration | 1,31 (1,18-1,43) | 0,018 | 0,058 |
Таблица 4. Результаты однофакторного и многофакторного регрессионного анализа в группе буккальной пластики уретры
Table 4. Results of univariate and multivariate regression analysis in the buccal mucosa urethroplasty group
| n=40 | Однофакторный регрессионный анализ Univariate regression analysis | Многофакторный регрессионный анализ Multivariate regression analysis | |
|---|---|---|---|
| Среднее (95% ДИ) Mean (95% CI) | p | p | |
| Возраст Age | 49,80 (45,11–54,49) | 0,005 | 0,048 |
| Этиология Etiology | 2,55 (2,14-2,95) | 0,410 | 0,829 |
| Локализация Localization | 4,25 (3,46-5,04) | 0,633 | 0,577 |
| Протяженность стриктуры Length of stricture | 5,36 (4,49-6,22) | 0,527 | 0,673 |
| Число предшествовавших операций Number of previous operations | 3,10 (2,47-3,73) | 0,908 | 0,452 |
| Одиночная/ Многофокусная Single/multifocal | 1,23 (1,09-1,36) | 0,014 | 0,088 |
| Первичная/ Рецидивная Primary/recurrent | 1,80 (1,67-1,93) | 0,642 | 0,905 |
| Стриктура/ Облитерация Stricture/obliteration | 1,08 (0,99-1,16) | 0,746 | 0,821 |
При использовании критерия отношение шансов (ОШ) в оценке влияния одиночных и многофокусных стриктур уретры на риск рецидива СУ нами получены данные, свидетельствующие о том, что вероятность успеха оперативного лечения у пациентов с многофокусными стриктурами уретры более чем в 2 раза ниже, чем у пациентов с одиночными стриктурами (ОШ=0,4; 95% ДИ: 0,16–1,01; p=0,05).
Одной из важнейших характеристик стриктуры уретры, оказывающей непосредственной влияние на выбор тактики оперативного лечения является протяженность стриктуры уретры. Выполнение ROC-анализа влияния протяженности на риск рецидива выявило высокую вероятность наступления рецидива у пациентов протяженностью стриктуры >3,5 cм (Se=24,29, 95% ДИ (14,8; 36,0); Sp=86,84, 95% ДИ (79,2 92,4); +LR=1,85; -LR=0,87), с высокой специфичностью полученных данных (рис. 6).
Рис. 6. Результаты ROC-анализа для оценки фактора протяженности стриктуры уретры
Fig. 6. Results of ROC-analysis for evaluation urethral stricture length in recurrence development
Согласно Рекомендаций AUA по лечению стриктур уретры (2016 г.), требуются более частые интервалы наблюдения пациентов с риском рецидива СУ, включающим неуспешное предшествовавшее лечение (множественные эндоскопические процедуры или предшествовавшая уретропластика), курение, диабет, возрастающую длину СУ, стриктуры связанные с лихен-склерозом, гипоспадией, или пластику с использованием лоскута или графта [12].
Для повышения частоты выявления рецидивов стриктур, без необходимости использования инвазивных методик ЕАУ разработан ряд предложений в зависимости от стратификации по уровню риска рецидива СУ, к которым относятся выполнение урофлоуметрии и опросника PROM через 3 и 12 месяцев после операции [13].
С целью улучшения результатов хирургического лечения СУ ведется множество перспективных исследований, направленных на поиск новых методов хирургического лечения СУ, таких как анастомотическая уретропластика без пересечения спонгиозного тела и использование тканевой инженерии [14-16], а также технологий, позволяющих замедлить процесс рубцевания в области спонгиозного тела, связанных с применением глюкокортикостероидов, митомицина С, гиалуроновой кислоты, плазмы обогащенной тромбоцитами как в виде интрауретральных инъекций, а также инстилляций и аппликаций на катетер [17-20]. Несмотря на значительное множество инновационных техник, требуется их критическая оценка в отдаленном периоде и выбор более подходящего метода, с учетом этиопатогенеза заболевания, а также персонифицированного подхода к оперативному лечению.
ВЫВОДЫ
Кумулятивный процент успеха у пациентов трех групп после выполнения различных оперативных вмешательств типов оперативного лечения в ближайшем периоде составил 73,27%, в отдаленном периоде – 62,94%. Максимальный процент успеха в ближайшем периоде (<12 месяцев) отмечался в группе анастомотической уретропластики – 84,62%.
Полученные данные указывают на высокую значимость оценки выявленных предикторов рецидива при планировании оперативного лечения СУ, а также оценки отдаленных результатов. Также было продемонстрировано, что отсутствует единый универсальный метод оперативного лечения с высоким уровнем результативности, применимый в любой клинической ситуации, в связи с чем требуется пересмотр устоявшихся алгоритмов и поиск оптимальных техник хирургического лечения стриктур уретры у мужчин.
ЛИТЕРАТУРА
- Alwaal A, Blaschko SD, McAninch JW, Breyer B.N. Epidemiology of urethral strictures. Transl Androl Urol 2014;3(2):209–13. https://doi.org/10.3978/j.issn.2223-4683.2014.04.07
- Barbagli G, Bandini M, Balò S, Sansalone S, Butnaru D, Lazzeri M. Surgical treatment of bulbar urethral strictures: tips and tricks. Int Braz J Urol 2020;46(4):511-8. https://doi.org/10.1590/S1677-5538
- Ниткин Д.М., Кветень А.Г. Использование опросников PROM-USS и IIEF в оценке симптомов нижних мочевых путей, качества жизни и сексуальной функции у пациентов со стриктурой уретры. Репродуктивное здоровье. Восточная Европа 2022;12(4):448-64. [Nitkin D., Kveten A. Using the PROM-USS and IIEF questionnaires in the assessment of lower urinary tract symptoms, quality of life and sexual function in patients with urethral stricture. Reproduktivnoe zdorove. Vostochnaia Evropa = Reproductive health. Eastern Europe 2022;12(4):448-64 (In Russian)]. https://doi.org/10.34883/PI.2022.12.4.005
- Rosenbaum CM, Netsch C, Gross AJ, Becker B. Harnröhrenrekonstruktion Urologie 2024;63(7):713-720. [Rosenbaum CM, Netsch C, Gross AJ, Becker B. Urethral reconstruction. Urology 2024;63(7):713-20. (In German)]. https://doi.org/10.1007/s00120-024-02369-5
- Meeks JJ, Erickson BA, Granieri MA, Gonzalez CM. Stricture recurrence after urethroplasty: a systematic review. J Urol 2009;182(4):1266-70. https://doi.org/10.1016/j.juro.2009.06.027
- Ofoha CG, Ramyil VM, Dakum NK, Shu'aibu SI, Akpayak IC, Magnus FE, et al. Predictors of urethral stricture recurrence following urethroplasty: a retrospective review at the Jos University Teaching Hospital, Nigeria. Pan Afr Med J 2019;32:190. https://doi.org/10.11604/pamj.2019.32.190.18504
- Sachse H. Direct vision cold knife internal urethrotomy. Urologe A 1978;17(3):177-81.
- Barbagli G, Montorsi F, Balò S, Sansalone S, Loreto C, Butnaru D, et al. Treatments of 1242 bulbar urethral strictures: multivariable statistical analysis of results. World J Urol 2019;37(6):1165-71. https://doi.org/10.1007/s00345-018-2481-6
- Pallares-Méndez R, Cota-Agüero JA, Gutierrez-Gonzalez A, Cervantes-Miranda DE, Hernández-Aranda KL, Ochoa-Arvizo M, et al. Risk factors associated with urethral stricture recurrence after end-to-end urethroplasty and buccal mucosal graft urethroplasty. Urologia 2022;89(2):268-73. https://doi.org/10.1177/03915603211008739
- Harraz AM, El-Assmy A, Mahmoud O, Elbakry AA, Tharwat M, Omar H, et al. Is there a way to predict failure after direct vision internal urethrotomy for single and short bulbar urethral strictures? Arab J Urol 2015;13(4):277-81. https://doi.org/10.1016/j.aju.2015.07.007
- Shalkamy O, Abdelazim H, Elshazly A, Soliman A, Agha M, Tagreda I, et al. Factors predicting urethral stricture recurrence after dorsal onlay augmented, buccal mucosal graft urethroplasty. Urol Int 2021;105(3-4):269-77. https://doi.org/10.1159/000512065
- Wessells H, Angermeier KW, Elliott SP, Gonzalez CM, Kodama R, Peterson AC, et al. Male urethral stricture: AUA Guideline. J Urol 2017;197:182-90. http://dx.doi.org/10.1016/j.juro.2016.07.087
- Lumen N., Campos-Juanatey F., Dimitropoulos K., Greenwell T., Martins F.E., Osman N., et al. EAU Guidelines on Urethral Strictures. European Association of Urology 2024. 108 p. URL: https://d56bochluxqnz.cloudfront.net/documents/full-guideline/EAU-Guidelines-on-Urethral-Strictures-2024.pdf
- Marks P, Dahlem R, Janisch F, Klemm J, Kühnke L, König F, et al. Mucomucosal anastomotic non-transecting augmentation (MANTA) urethroplasty: a ventral modification for obliterative strictures. BJU Int 2023;132(4):444-51. https://doi.org/10.1111/bju.16112
- Bogdanov AB, Veliev EI, Sokolov EA, Metelev AY, Ivkin EE, Tomilov AA, et al. Nontransecting anastomotic urethroplasty via ventral approach without full mobilization of the corpus spongiosum dorsal semicircumference. Urology 2021;152:136-41. https://doi.org/10.1016/j.urology.2020.10.074
- Saad S, Osman NI, Chapple CR. Tissue engineering: recent advances and review of clinical outcomes for urethral strictures. Curr Opin Urol 2021;31(5):498-503. https://doi.org/10.1097/MOU.0000000000000921
- Pang KH, Chapple CR, Chatters R, Downey AP, Harding CK, et al. A systematic review and meta-analysis of adjuncts to minimally invasive treatment of urethral stricture in men. Eur Urol 2021; 80(4):467-79. https://doi.org/10.1016/j.eururo.2021.06.022
- Elliott SP, Coutinho K, Robertson KJ, D'Anna R, Chevli K, Carrier S, et al. One-year results for the ROBUST III randomized controlled trial evaluating the Optilume® drug-coated balloon for anterior urethral strictures. J Urol 2022;207(4):866-75. https://doi.org/10.1097/JU.0000000000002346
- Soliman C, Pan HYC, Mulholland CJ, Furrer MA, Agarwal DK, Lawrentschuk N, et al. Effect of local steroids on urethral strictures: a systematic review and meta-analysis. Investig Clin Urol 2022;63(3):273-284. https://doi.org/10.4111/icu.20210391
- Jordan G, Chapple C, Heyns C. Urethral strictures. An international consultation on urethral strictures. Marrakech, Morocco, October 13-16, 2010.


Скачать