ВВЕДЕНИЕ
Проблема бесплодия значима и не теряет своей актуальности в мире. Данная ситуация затрагивает около 15% сексуально активных пар, не использующих методы контрацепции, что составляет примерно 48,5 млн пар во всем мире [1]. По данным Российских авторов, роль мужского фактора в бесплодном браке в России может варьироваться от 30 до 50% [2].
Причины ухудшения качества эякулята у ряда мужчин остаются неясными даже после проведения комплексного обследования, что классифицируется как идиопатическая форма бесплодия. В случаях, когда в эякуляте отсутствуют сперматозоиды, диагностируется азооспермия [3].
Распространенность азооспермии в популяции всех мужчин составляет примерно 1%, среди бесплодных мужчин – 7-10%. Необструктивная азооспермия (НОА) является наиболее тяжелой формой бесплодия, при этом до 80% мужчин с НОА классифицируются как идиопатические по своей природе.
В свою очередь обструктивная азооспермия (ОА) не вызывает особых сложностей в диагностике и составляет приблизительно 40-50% всех случаев азооспермии [4–6].
В ряде исследований проводился анализ потенциальных факторов риска, способствующих снижению мужской фертильности. К этим факторам относятся генетические аномалии, иммунологические, эндокринные нарушения, наличие новообразований, сопутствующие системные заболевания, а также врожденные или приобретенные патологии мочеполовой системы [7].
Не менее значимыми факторами, влияющими на мужскую фертильность, являются острые и хронические инфекции урогенитального тракта, которые считаются потенциально обратимыми факторами, влияющими на параметры эякулята. Эти нарушения составляют от 15 до 20% всех зарегистрированных случаев [8–10].
Однако, проведенные исследования у пациентов с мужским фактором бесплодия показали возможную связь заболевания не только с инфекциями, передаваемым половым путем, но и с изменением состава нормальной микробиоты. Изучение микробиома человека представляет большой интерес для научного сообщества во всех областях медицины, в частности, его роли в регуляции специфических функций тканей [11].
Мужской микробиом репродуктивной системы представляет собой сложное сообщество микроорганизмов, обитающих в разных частях мужского организма, включая уретру, предстательную железу и семенные пузырьки. Исследования показывают, что микробиом играет важную роль в поддержании здоровья репродуктивной системы и может влиять на фертильность [12, 13].
Вопрос о наличии микроорганизмов, в частности условно-патогенной флоры, в мужском репродуктивном тракте и их влиянии на фертильность семенной жидкости активно обсуждается в научных кругах. Споры касаются роли микроорганизмов в колонизации мужских мочеполовых органов, а не только их инфицирования, в контексте ухудшения параметров спермы. Некоторые исследователи утверждают, что прямое воздействие патогенных микроорганизмов отрицательно сказывается на морфологии сперматозоидов, что уменьшает их оплодотворяющую способность. В то же время другие ученые указывают на то, что инфекции мужской репродуктивной системы могут нарушать функционирование гематотестикулярного барьера, что приводит к апоптозу клеток сперматогенного эпителия и, как следствие, к развитию аутоиммунного бесплодия [14–17].
Неэффективность лечения мужского бесплодия часто обусловлена множеством факторов, способствующих возникновению данной проблемы. К их числу могут относиться инфекции урогенитального тракта, которые порой не получают должного внимания в процессе диагностики. Проведенные исследования in vitro показали, что бактерии способны оказывать значительное влияние на подвижность сперматозоидов, их функциональную зрелость, качество и состав семенной жидкости. Данные нарушения включают в себя агглютинацию подвижных сперматозоидов, индукцию апоптоза, выработку веществ, ответственных за иммобилизацию, а также нарушение акросомальной реакции [18–22].
В имеющихся на сегодняшний день исследованиях было обнаружено, что определенные микроорганизмы, такие как Lactobacillus iners, Gardnerella vaginalis, Enterococcus faecalis, Escherichia coli и Staphylococcus aureus, могут быть связаны с необструктивной формой азооспермии [23, 24].
Наряду с необструктивной формой азооспермии не меньший интерес научного сообщества вызывает ОА, которая так же влечет за собой репродуктивные потери. В мета-анализах последних десятилетий было доказано, что ОА связана не только с генетической и эндокринной патологией, но и воспалительными заболеваниями, где одну из ведущих ролей занимает патология урогенитального тракта не всегда выявляемая рутинными культуральными методами и зачастую приводящая к обструкции семявыводящих путей, что напрямую связано с изменением таксономической структуры микробиома репродуктивного потенциала мужчин и развитием ОА [3].
С учетом того, что общая эффективность использования вспомогательных репродуктивных технологий составляет лишь 30-35%, становится очевидной важность изучения влияния различных факторов, приводящих к мужскому бесплодию. Наименее изученной и одной из самых обсуждаемых проблем, ассоциированных с мужским бесплодием, является влияние условно-патогенной микрофлоры на снижение мужской фертильности. Это вновь подтверждает актуальность изучения микробиома мужской репродуктивной системы [25].
Наиболее часто инфекции, передаваемые половым путем (ИППП), особенно условно-патогенные, обнаруживаются у людей фертильного возраста. Бессимптомное течение таких инфекций может приводить к структурно-воспалительным изменениям в тканях органов урогенитального тракта, что в конечном итоге ведет к бесплодию. Это подчеркивает важность своевременной диагностики и адекватной терапии [26–28]. Из-за отсутствия полноценных исследований и противоречивости полученных результатов, влияние микробиоты на качество семенной жидкости до сих пор неясно. Большинство исследований в данной области опираются на методы культивирования или полимеразной цепной реакции, ориентированные на конкретные микроорганизмы. Однако такие подходы имеют два основных недостатка: во-первых, множество бактерий невозможно культивировать или идентифицировать, во-вторых, они ограничиваются лишь теми микроорганизмами, на которые направлен тест, не позволяя проводить анализ всей микробиоты, что является преимуществом метода секвенирования нового поколения (NGS).
Цель исследования: проведение сравнительного анализа микробиоты тестикул и уретры у пациентов с ОА, имеющих положительные результаты применения вспомогательных репродуктивных технологий (ВРТ) (рожденные дети), и у пациентов с отрицательным результатом ВРТ и определить таксономическую структуру микробиома, ассоциируемого с фертильностью у пациентов с положительным результатом ВРТ.
МАТЕРИАЛЫ И МЕТОДЫ
Нами исследован и проанализирован биологический материал 24 инфертильных мужчин с ОА, проходивших процедуры ВРТ с 2020 по 2022 год. Успехом считалось наступление беременности у 13 пациентов (группа ВРТ+), не удалость достичь успеха у 11 пациентов (группа ВРТ-).
Критериям включения служили: добровольное информированное согласие пациента на участие в исследовании, возраст старше 18 лет, бесплодие в браке более 1 года при регулярной половой жизни без использования средств контрацепции, отсутствие в анамнезе двусторонних поражений яичек, их гипоплазии, а также отсутствие антибактериальной терапии в течение 3 месяцев, отсутствие варикоцеле, подтвержденного ультразвуковым исследованием органов мошонки с доплерометрией.
В свою очередь, критериями исключения явились: наличие онкологической патологии, ИППП, генетические и эндокринные факторы бесплодия, тяжелая соматическая патология на момент обследования, регулярный прием лекарственных средств, приводящих к развитию бесплодия и гипогонадизма, повышение концентрации простатспецифического антигена (PSA) в сыворотке крови более 4 нг/мл и/или его свободной фракции более 5 нг/мл, психические заболевания, хронический алкоголизм и наркомания, наличие ВИЧ инфекции.
Биологический материал был получен из мазков уретры и путем микрохирургической экстракции сперматозоидов из паренхимы яичка в стерильных условиях в ходе стандартной процедуры извлечения сперматозоидов из яичек (microTESE).
Выделение ДНК выполнялось по стандартной методике, описанной ранее [29]. Исследование бактериального разнообразия тестикулярной ткани и уретры было выполнено с использованием высокопроизводительного NGS.
Статистическую обработку данных выполняли с помощью программы QIIME (версия 1.9.1). Таксономическое альфа-разнообразие оценивали с помощью индекса Симпсона и Шеннона. Таргетный анализ проводился с помощью относительной представленности семейства. Корреляционный анализ был проведен с использованием коэффициента Спирмена. Значение p<0,05 было принято как статистически достоверное.
РЕЗУЛЬТАТЫ
Сравнительный анализ распределения таксономического состава микробиоты уретры и яичка на уровне фил и семейств был выполнен на основе средних значений по исследуемым группам сравнения в зависимости от исхода ВРТ.
1. Общая характеристика таксономического состава микробиоты ткани яичка и уретры
Распределение на уровне фил, представленное на рисунках 1 и 2, указывает на преобладание определенных групп микроорганизмов. В частности, важными могут быть филы Firmicutes, Proteobacteria, Actinobacteria и Bacteroidota, каждая из которых имеет свои уникальные функции. Это может указывать на их ключевую роль в поддержании гомеостаза и защиты от патогенных факторов.

Рис. 1. Таксономический состав на уровне фил в образцах микробиоты ткани яичка в группах сравнения
Fig. 1. Taxonomic composition at the phylum level in testicular tissue microbiota samples in comparison groups

Рис. 2. Таксономический состав на уровне фил в образцах микробиоты уретры в группах сравнения
Fig. 2. Taxonomic composition at the phylum level in urethral microbiota samples in comparison groups

Рис. 3. Таксономический состав бактериальных семейств в образцах микробиоты ткани яичка
Fig. 3. Taxonomic composition of bacterial families in testicular tissue microbiota samples
Распределение на уровне бактериальных семейств позволило выделить такие семейства, как Enterobacteriaceae и Burkholderiaceae в ткани яичка, в то время как в уретре основными семействами являются Mycobacteriaceae, Staphylococcaceae, Lactobacillaceae и Peptoniphilaceae (рис. 3 и 4).
В результате проведенного исследования достоверных отличий между индексами альфа-разнообразия (ADV) микробиоты ткани яичка и уретры в группах ОА ВРТи ОА ВРТ+ обнаружено не было. В таблице 1 приведены значения индексов ADV.

Рис. 4. Таксономический состав бактериальных семейств в образцах микробиоты ткани уретры
Fig. 4. Taxonomic composition of bacterial families in urethral tissue microbiota samples
2. Сравнение таксономического состава микробиоты ткани яичка и уретры на уровне семейств у пациентов с ОА в зависимости от результатов ВРТ
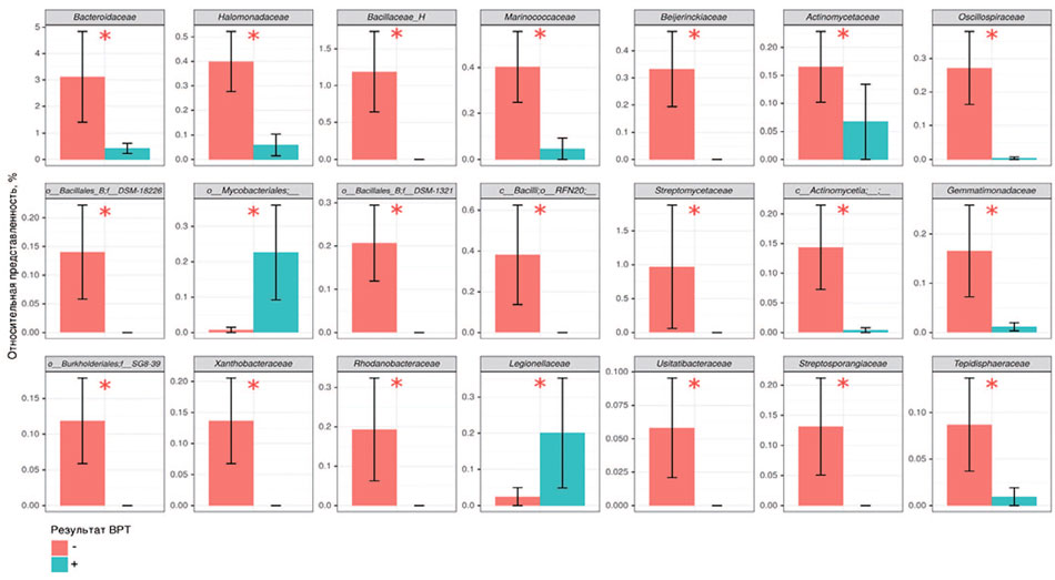
У пациентов с ОА с отрицательными результатами ВРТ в микробиоте ткани яичка статистически значима выше относительная представленность 19 бактериальных семейств и снижена по 2 семействам (Mycobacteriales и Legionellacea) по сравнению с пациентами с ОА с положительными результатами ВРТ (рис. 5). В микробиоте уретры статистически значимо снижена представленность 5 семейств (рис. 6).
Таблица 1. Индексы альфа-разнообразия в исследуемых образцах
Table 1. Alpha diversity indices (ADV) in the studied samples
| Биологический образец Biological sample | Результат ВРТ ART result | ADV индекс ADV index | Филогенетическое разнообразие, M±SD Phylogenetic Diversity, M±SD | Индекс Симпсона, M±SD Simpson Index, M±SD | Индекс Шеннона, M±SD Shannon Index, M±SD |
|---|---|---|---|---|---|
| Ткань яичка Testicular tissue | – | 126,3±106,9 | 40,4±60,4 | 0,88±0,11 | 4,7±1,7 |
| + | 73,0±60,3 | 42,0±44,4 | 0,86±0,10 | 4,1±1,2 | |
| Уретра Urethra | – | 175,0±251,1 | 114,9±173,8 | 0,81±0,14 | 3,9±1,9 |
| + | 44,5±20,2 | 13,9±10,1 | 0,83±0,14 | 3,6±1,1 |

Рис. 5. Относительная представленность бактериальных семейств в микробиоте ткани яичка у пациентов с ОА в зависимости от результатов ВРТ
* статистически достоверные отличия p<0,05 (критерий Краскела-Уоллиса)
Fig. 5. Relative representation of bacterial families in the testicular tissue microbiota in patients with OA depending on the results of ART
* statistically significant differences p<0.05 (Kruskal-Wallis test)

Рис. 6. Относительная представленность бактериальных семейств в микробиоте в микробиоте уретры у пациентов с ОА в зависимости от результатов ВРТ
* статистически достоверные отличия p<0,05 (критерий Краскела-Уоллиса)
Fig. 6. Relative representation of bacterial families in the urethral microbiota of patients with OA depending on the results of ART
* statistically significant differences p<0.05 (Kruskal-Wallis test)
3. Корреляционный анализ микробиоты с клиническими параметрами
Результаты корреляционного анализа микробиоты ткани яичка и уретры с клиническими параметрами у пациентов с ОА приведены на рисунке 7 и в таблицах 2 и 3.
Проведенный корреляционный анализ наглядно иллюстрирует коррелирующие взаимосвязи между уровнями ингибина В и характеристиками микробиоты тестикулярной ткани.
ОБСУЖДЕНИЕ
Микробиота уретры и яичка является важной частью микробной экосистемы человека, которая играет роль в поддержании здоровья мочеполовой системы и профилактике инфекций. Взаимосвязь между микробиотой мочеполовой системы и репродуктивным здоровьем мужчин, особенно в отношении фертильности и таких состояний, как наиболее тяжелые факторы мужского бесплодия, является новой областью исследований, направленных на понимание того, как микробные сообщества влияют на качество спермы и результаты ВРТ.
Мы сравнили результаты анализа микробиоты у пациентов с ОА с успешным и неудачным ВРТ и не выявили существенных отличий в таксономическом альфа-разнообразии на уровне фил. В контексте отрицательных результатов ВРТ, данные о представленности фил Firmicutes_D и Proteobacteria может свидетельствовать о возможных бактериальных инфекциях или дисбиотических состояниях, которые нарушают нормальное функционирование яичек и влияют на репродуктивную функцию.
Нарушение нормальной микробиоты тестикул может вызывать воспалительные процессы, которые могут сказываться на производстве и функции гормонов, таких как ингибин В и тестостерон. Исследования показывают, что изменения в таксономической структуре микробиоты тестикул могут быть связаны с низкими уровнями ингибина В и тестостерона. Например, таксономические структурные нарушения микробиоты кишечника, за счет определенных биотопов могут угнетать функцию клеток Лейдига, которые отвечают за продуцирование тестостерона [30]. Сравнив наши данные о микробиоте и уровнях ингибина, мы установили, что при увеличении разнообразия микробной флоры тестикулярной ткани наблюдается соответствующий рост уровня ингибина. Это подтверждено данными корреляционного анализа нашего исследования: Beijerinckiaceae r=0,501, p<0,05; o Vicinamibacterales; f UBA2999 r=0,528, p<0,05; Oscillospiraceae r=0,563, p<0,05, Enterobacteriaceae_A r=0,537, p<0,05. Результаты проведенного корреляционного анализа показали положительную коррелятивную связь между уровнями ингибина и характеристиками микробиоты тестикулярной ткани. Это указывает на потенциальное взаимовлияние между нормальной микробиотой и эндокринной функцией тестикул К примеру, определенные виды бактерий могут способствовать производству метаболитов, которые влияют на клеточную сигнализацию и гормональную активность.
Таблица 2. Коэффициенты корреляции Спирмена между бактериальными семействами, выявленными в ткани яичка, и клиническими параметрами пациентов с ОА
Table 2. Spearman’s correlation coefficients between bacterial families identified in testicular tissue and clinical parameters of patients with OA
| Биологический образец Biological sample | ФСГ FSH | Гольд Gold | Тест Test | ЛГ LH | Ингибин В Inhibin B |
|---|---|---|---|---|---|
| o Burkholderiales;f SG8-39 | -0,198 | 0,215 | 0,058 | 0,276 | 0,463* |
| Listeriaceae | -0,107 | 0,178 | -0,011 | 0,204 | 0,433* |
| Pasteurellaceae | -0,104 | 0,165 | 0,061 | 0,239 | 0,368* |
| Streptosporangiaceae | -0,181 | 0,163 | 0,111 | 0,203 | 0,376* |
| Beijerinckiaceae | -0,214 | 0,008 | 0,000 | 0,196 | 0,417* |
| o Vicinamibacterales;f UBA2999 | -0,246 | 0,315 | 0,083 | 0,194 | 0,501* |
| Xanthobacteraceae | -0,264 | 0,272 | 0,048 | 0,125 | 0,528* |
| Bacteroidaceae | -0,111 | 0,044 | 0,388* | 0,218 | 0,459* |
| Rhodanobacteraceae | -0,387* | 0,324 | 0,190 | -0,018 | 0,458* |
| Bacillaceae_H | -0,328 | 0,250 | 0,209 | -0,042 | 0,371* |
| Acetobacteraceae | -0,342 | 0,310 | 0,332 | -0,184 | 0,381* |
| Aerococcaceae | -0,306 | 0,379* | 0,016 | -0,060 | 0,191 |
| o Bacillales_B;f DSM-18226 | -0,281 | 0,218 | -0,005 | -0,154 | 0,366* |
| Dialisteraceae | -0,113 | -0,006 | 0,075 | 0,053 | 0,489* |
| Peptostreptococcaceae | -0,106 | -0,003 | 0,169 | 0,063 | 0,372* |
| Oscillospiraceae | -0,171 | -0,060 | 0,211 | -0,040 | 0,563* |
| Enterobacteriaceae_A | -0,271 | 0,068 | 0,042 | 0,010 | 0,537* |
| Coriobacteriaceae | -0,035 | -0,142 | 0,085 | 0,162 | 0,479* |
| Coprobacillaceae | -0,125 | -0,126 | 0,136 | 0,085 | 0,430* |
| c Alphaproteobacteria; ; | 0,006 | -0,196 | 0,070 | -0,027 | 0,379* |
| Marinococcaceae | 0,064 | -0,039 | -0,006 | 0,149 | 0,379* |
| Rhodocyclaceae | -0,165 | -0,037 | -0,088 | -0,216 | 0,321 |
| Weeksellaceae | 0,157 | 0,098 | 0,020 | 0,424* | 0,150 |
| Porphyromonadaceae | 0,145 | -0,196 | -0,152 | 0,397* | 0,222 |
| Streptococcaceae | 0,659* | -0,095 | 0,021 | 0,490* | -0,119 |
| Dermabacteraceae | -0,059 | 0,055 | -0,441* | 0,008 | 0,017 |
| Pelagibacteraceae | -0,183 | 0,069 | -0,390* | -0,199 | -0,194 |
| Veillonellaceae | 0,334 | -0,361* | 0,123 | 0,245 | -0,154 |
| Haliangiaceae | 0,173 | -0,431* | 0,298 | 0,048 | -0,297 |
| c Polyangia;.o DRWM01;f JAAZOP01 | 0,209 | -0,437* | 0,132 | 0,025 | -0,381* |
| Ilumatobacteraceae | 0,368* | 0,059 | -0,038 | -0,119 | -0,308 |
| Obscuribacteraceae | 0,060 | -0,390* | -0,138 | -0,225 | -0,328 |
| Burkholderiaceae_A | 0,121 | -0,379* | -0,002 | -0,099 | -0,188 |
| Chitinophagaceae | 0,138 | -0,408* | -0,203 | -0,051 | -0,204 |
Примечание: ФСГ фолликулостимулирующий гормон, Гольд Морфологическая шкала Гольдштейна, Тест. – тестостерон, ЛГ лютеинизирующий гормон. * - статистически достоверные корреляции, p < 0,05
Note: FSH – follicle-stimulating hormone, Gold – Goldstein's morphological scale,, Test – testosterone, LH – luteinizing hormone. * – statistically significant correlations, p < 0.05
Таблица 3. Коэффициенты корреляции Спирмена между бактериальными семействами, выявленными в уретре и клиническими параметрами пациентов с ОА
Table 4. Spearman’s correlation coefficients between bacterial families identified in the urethra and clinical parameters of patients with OA
| Семейство Family | ФСГ FSH | Гольд Gold | Тест Test | ЛГ LH | Ингибин В Inhibin B |
|---|---|---|---|---|---|
| Индекс Симпсона | -0.221 | 0.057 | 0.160 | -0.386* | -0.135 |
| Acetobacteraceae | 0.007 | 0.373* | 0.312 | 0.102 | 0.047 |
| Bifidobacteriaceae | -0.310 | 0.177 | 0.064 | -0.190 | 0.404* |
| Veillonellaceae | -0.220 | -0.099 | 0.075 | -0.290 | 0.400* |
| Mycoplasmoidaceae | -0.084 | 0.007 | -0.375* | -0.242 | 0.175 |
| Actinomycetaceae | 0.149 | -0.397* | -0.086 | -0.021 | -0.186 |
| Leptotrichiaceae | -0.066 | -0.495* | -0.030 | -0.219 | -0.025 |
| Staphylococcaceae | 0.171 | -0.012 | -0.164 | -0.031 | -0.433* |
| Chitinophagaceae | 0.435* | -0.079 | -0.158 | -0.029 | -0.215 |
| Burkholderiaceae_A | 0.419* | -0.150 | -0.260 | 0.012 | -0.241 |
| Obscuribacteraceae | 0.406* | -0.165 | -0.191 | -0.153 | -0.303 |
| Neisseriaceae |
* статистически достоверные корреляции, p < 0,05
* statistically significant correlations, p < 0.05

Рис. 7. Корреляционный анализ микробиоты ткани яичка (А) и уретры (Б) с клиническими параметрами для пациентов с ОА.
* статистически достоверные корреляции, красная ячейка – корреляция положительная, синяя – отрицательная. Чем интенсивнее цвет, тем сильнее корреляция. /Тест-показатели общ. тестостерона /ГольдМорфологическая шкала Гольдштейна/ ЛГ лютеинизирующий гормон / ФСГ фолликулостимулирующий гормон/
Fig. 7. Correlation analysis of testicular (A) and urethral (B) tissue microbiota with clinical parameters in patients with OA.
* statistically significant correlations; red cells indicate positive correlations; blue cells indicate negative correlations. The more intense the color, the stronger the correlation/Test indicators of total testosterone /Goldstein Morphological Scale/ LH luteinizing hormone / FSH follicle-stimulating hormone/
Микробное разнообразие уретры, как правило, менее сложное по сравнению с другими слизистыми оболочками, такими как кишечник или вагинальная микрофлора. Однако оно может значительно различаться у разных людей и определенные бактериальные сообщества могут коррелировать со здоровьем мочевыводящих путей и репродуктивной системы [31]. Как и другая микробиота в организме, микробиота уретры важна как для поддержания здорового состояния, так и в развитии различных патологических процессов. У здоровых мужчин наиболее распространенными бактериями являются Lactobacillaceae Corynebacteriaceae и Staphylococcaceae [32]. При исследовании микробиоты уретры в группах сравнения нами было выявлено что у пациентов с неудачными результатами ВРТ значительно увеличена относительная представительность фил Actinobacteriacea и Proteobacteria по сравнению с пациентами ВРТ+. Также в группе ВРТдостоверно реже встречаются семейства Burkholderiaceae_A, c_Polyangia; o_DRWM01;_ и Chitinophagaceae. Микробиота уретры может играть защитную роль, предотвращая колонизацию и инфицирование патогенными бактериями. Эта колонизационная резистентность аналогична тому, что наблюдается в других микробных средах организма. Микробиом, вероятно, взаимодействует с местной иммунной системой, помогает поддерживать сбалансированный иммунный ответ и предотвращает хроническое воспаление или инфекцию [33].
Таким образом можно предположить, что дисбаланс в уретральной и репродуктивной микробиоте может быть связан с такими состояниями как азооспермия различного генеза и другими проблемами с фертильностью у мужчин, а также изменение относительной представленности отдельных семейств может потенциально влиять на результаты проведения ВРТ.
ВЫВОДЫ
Результаты демонстрируют, что нарушения, ассоциированные с обструктивной азооспермией, приводят к изменению относительной представленности отдельных семейств микробиоты уретры и яичек, что оказывает существенное влияние на исходы ВРТ. Практическая значимость этих данных заключается в том, что коррекция микробиоты может стать потенциальной стратегией для улучшения результатов ВРТ у пациентов с обструктивной азооспермией, открывая новые подходы к лечению и повышению фертильности, и позволяет предположить теорию о «микробиоте фертильности тестикул» и впоследствии может играть немаловажную роль при прегравидарной криоконсевации в программах ВРТ и создании новых тестов для отбора сперматозоидов в программах искусственного оплодотворения.
ЛИТЕРАТУРА
- Agarwal A, Mulgund A, Hamada A, Chyatte MR. A unique view on male infertility around the globe. Reprod Biol Endocrinol 2015;13(1):37. https://doi.org/10.1186/s12958-015-0032-1
- Сухих Г.Т., Божедомов В.А. Иммунное мужское бесплодие. Учебное пособие. М., 2009, 240 с. [Sukhikh G.T., Bozhedomov V.A. Immune male infertility. Textbook M., 2009. 240 p. (In Russian)].
- Chen H, Luo T, Chen T, Wang G. Seminal bacterial composition in patients with obstructive and non-obstructive azoospermia. Exp Ther Med 2018;15(3):2884-2890. https://doi.org/10.3892/etm.2018.5778
- Cocuzza M, Alvarenga C, Pagani R. The epidemiology and etiology of azoospermia. Clinics (Sao Paulo) 2013;68 Suppl 1(Suppl 1):15-26. https://doi.org/10.6061/clinics/2013(sup01)03
- Malik S. Genital tuberculosis and implantation in assisted reproduction. Reviews in Gynaecological Practice 2003;3 (3):160-4. https://doi.org/10.1016/S1471-7697(03)00059-5
- Бушмакин А.Д., Луговой К.А., Помешкин Е.В., Тришкин А.Г., Курганова Л.В., Зуева Г.П., и др. Ведение пациента с секреторной формой азооспермии. Медицина в Кузбассе 2022;21(3):115-21. [Bushmakin A.D., Lugovoi K.A., Pomeshkin E.V., Trishkin A.G., Kurganova L.V.,Zueva G.P., et al. Management of a patient with a secretory form of azoospermia. Meditsina v Kuzbasse = Medicine in Kuzbass 2022;21(3):115-21. (In Russian)]. https://doi.org/10.24412/2687-0053-2022-3-115-121
- Jungwirth A, Diemer T, Kopa Z, Krausz C., Minhas S., Tournayel H. EAU guidelines on male infertility. European Association of Urology, 2019. 48 p. UIRL: https://uroweb.org/wpcontent/uploads/EAU-Guidelines-on-Male-Infertility-2019.pdf.
- Moretti E, Figura N, Campagna MS, acoponi F, Gonnelli S, Collodel G. Infectious burden and semen parameters. Urology 2017;100:90-6. https://doi.org/10.1016/j.urology.2016.10.032
- Zhang L, Zhang KP, Liang CZ. Ureaplasma urealyticum in male genital tract: a hidden risk factor for male infertility. Andrologia 2016;48(10):1077-9. https://doi.org/10.1111/and.12577
- Ahmadi MH, Mirsalehian A, Sadighi Gilani MA, Gilani MA, Bahador A, Talebi M. Asymptomatic infection with Mycoplasma hominis negatively affects semen parameters and leads to male infertility as confirmed by improved semen parameters after antibiotic treatment. Urology 2017;100:97-102. https://doi.org/10.1016/j.urology.2016.11.018
- Young VB. The role of the microbiome in human health and disease: an introduction for clinicians. BMJ 2017;356:j831. https://doi.org/10.1136/bmj.j831
- Fraczek M, Kurpisz M. Mechanisms of the harmful effects of bacterial semen infection on ejaculated human spermatozoa: potential inflammatory markers in semen. Folia Histochem Cytobiol 2015;53(3):201-17. https://doi.org/10.5603/fhc.a2015.0019
- Lundy SD, Sangwan N, Parekh NV, Selvam MKP, Gupta S, McCaffrey P, Bessoff K, Vala A, Agarwal A, Sabanegh ES, Vij SC, Eng C. Functional and Taxonomic Dysbiosis of the Gut, Urine, and Semen Microbiomes in Male Infertility. Eur Urol 2021;79(6):826-836. https://doi.org/10.1016/j.eururo.2021.01.014
- Isaiah IN, Nche BT, Nwagu IG, Nnanna II. Current studies on bacteriospermia the leading cause of male infertility: a protégé and potential threat towards means extinction. N Am J Med Sci 2011;3(12):562-4. https://doi.org/10.4297/najms.2011.3559
- Lu Y, Bhushan S, Tchatalbachev S, Marconi M, Bergmann M, Weidner W, et al. Necrosis is the dominant cell death pathway in uropathogenic Escherichia coli elicited epididymo-orchitis and is responsible for damage of rat testis. PLoS One 2013;8(1):e52919. https://doi.org/10.1371/journal.pone.0052919
- Havrylyuk A, Chopyak V, Boyko Y, Kril I, Kurpisz M. Cytokines in the blood and semen of infertile patients. Cent Eur J Immunol 2015;40(3):337-44. https://doi.org/10.5114/ceji.2015.54596.
- Schulz M, Sánchez R, Soto L, Risopatrón J, Villegas J. Effect of Escherichia coli and its soluble factors on mitochondrial membrane potential, phosphatidylserine translocation, viability, and motility of human spermatozoa. Fertil Steril 2010;94(2):619-23. https://doi.org/10.1016/j.fertnstert.2009.01.140.
- Villegas J, Schulz M, Soto L, Sanchez R. Bacteria induce expression of apoptosis in human spermatozoa. Apoptosis 2005;10(1):105-10. https://doi.org/10.1007/s10495-005-6065-8
- Kaur S, Prabha V. Receptor mediated amelioration of the detrimental effects of sperm aggluti- nating factor on sperm parameters. Andrology 2013;1(4):624-31. https://doi.org/10.1111/j.2047-2927.2013.00088.x
- Núñez-Calonge R, Caballero P, Redondo C, Baquero F, Martínez-Ferrer M, Meseguer MA. Ureaplasma urealyticum reduces motility and induces membrane alterations in human spermatozoa. Hum Reprod 1998;13(10):2756-61. https://doi.org/10.1093/humrep/13.10.2756
- Boguen R, Treulen F, Uribe P, Villegas JV. Ability of Escherichia coli to produce hemolysis leads to a greater pathogenic effect on human sperm. Fertil Steril 2015;103(5):1155-61. https://doi.org/10.1016/j.fertnstert.2015.01.044
- Ma XP, Gao XQ. The effect of Ureaplasma urealyticum on the level of P34H expression, the activity of hyaluronidase, and DNA fragmentation in human spermatozoa. Am J Reprod Immunol 2017;77(1):e12600. https://doi.org/10.1111/aji.12600
- Campbell K, Suarez Arbelaez MC, Ghomeshi A, Ibrahim E, Roy S, Singh P, et al. Next-generation sequencing analysis of semen microbiome taxonomy in men with nonobstructive azoospermia vs. fertile controls: a pilot study. F S Sci 2023;4(3):257–264. https://doi.org/10.1016/j.xfss.2023.06.001
- Alfano M, Ferrarese R, Locatelli I, Ventimiglia E, Ippolito S, Gallina P, et all. Testicular microbiome in azoospermic men-first evidence of the impact of an altered microenvironment. Hum Reprod 2018;33(7):1212-1217. https://doi.org/10.1093/humrep/dey116
- Абдрахманов А.Р., Абдрахманов Р.М. Влияние условно-патогенной микрофлоры на репродуктивное здоровье. Современные проблемы науки и образования 2018;2:8 [Abdrakhmanov AR, Abdrakhmanov RM. The impact of conditionally pathogenic microflora on reproductive health. Sovremennyye problemy nauki i obrazovaniya = Modern Problems of Science and Education 2018;(2):8 (in Russian)].
- Яковлев А.В., Неймарк А.И., Таранина Т.С., и др. Клиника и патоморфология полипов уретры у женщин при уреаплазменной инфекции. Уральский медицинский журнал 2012;1(93):90-3 [Yakovlev AV, Neimark AI, Taranina TS, et al. Clinical and pathomorphology of urethral polyps in women with ureaplasma infection. Ural'skii meditsinskii zhurnal = Ural Medical Journal 2012;1(93):90-3 (in Russian)].
- Евстигнеева Н.П., Кузнецова Ю.Н., Рахматулина М.Р., Михайлова О.О. Новые медицинские технологии ведения пациентов с урогенитальной микоплазменной инфекцией. Врач 2011;(6):7-12 [Evstigneeva NP, Kuznetsova YuN, Rakhmatulina MR, Mikhailova OO. New medical technologies for the management of patients with urogenital mycoplasma infection. Vrach = Vrach (The Doctor) 2011;(6):7-12 (in Russian)].
- Герасимова Н.А., Евстигнеева Н.П., Зильберберг Н.В., Гущин А.Е. К вопросу о дискордантных результатах выявления Mycoplasma hominis и Ureaplasma spp. молекулярно-биологическим и культуральным методами у пациентов с урогенитальными заболеваниями. Фундаментальные исследования 2014;(10-3):487-92 [Gerasimova NA, Evstigneeva NP, Zilberberg NV, Guschin AЕ. To the question of discordant results detection of Mycoplasma hominis and Ureaplasma spp.molecular-biological and cultural methods of patients with urogenital diseases. Fundament'al'nyye Issledovaniyaya = Fundamental Research 2014;10-3:487-92 (in Russian)].
- Патент на изобретение №2810467. Дата регистрации: 27.12.2023. Фаниев М.В., Кадыров З.А., Гудков Г.В., Крутенко Д.В., Прокопьев Я.В., Водолажский Д.И Способ малоинвазивного выделения бактериальной ДНК из биоптата тестикулярной ткани у инфертильных мужчин. URL: https://www.fips.ru/iiss/document.xhtml?faces
- Santacroce L, Imbimbo C, Ballini A, Crocetto F, Scacco S, Cantore S, et al. Testicular immunity and its connection with the microbiota. Physiological and clinical implications in the light of personalized medicine. J Pers Med 2022;12(8):1335. https://doi.org/10.3390/jpm12081335
- ZuberA, PericA, PluchinoN, BaudD, StojanovM. Human male genital tract microbiota. Int J Mol Sci 2023;24(8):6939. https://doi.org/10.3390/ijms24086939
- Kim DS, Lee JW. Urinary tract infection and microbiome. Diagnostics (Basel) 2023;13(11):1921. https://doi.org/10.3390/diagnostics13111921
- Zou H, Xu N, Xu H, Xing X, Chen Y, Wu S. Inflammatory cytokines may mediate the causal relationship between gut microbiota and male infertility: a bidirectional, mediating, multivariate Mendelian randomization study. Front Endocrinol 2024;15:1368334. https://doi.org/10.3389/fendo.2024.1368334


Скачать