ВВЕДЕНИЕ
Доброкачественная гиперплазия предстательной железы (ДГПЖ) и хроническая болезнь почек (ХБП) являются важной проблемой здоровья пожилых мужчин. ХБП остается одной из ведущих причин потери трудоспособности и повышенной смертности среди пациентов с нарушениями мочеиспускания. Ранняя диагностика ХБП играет ключевую роль в замедлении прогрессирования заболевания и улучшении качества жизни пациентов [1].
Среди хронических неинфекционных заболеваний, ежегодно уносящих миллионы жизней и приводящих к тяжелым осложнениям (потере трудоспособности и необходимости высокозатратного лечения) ХБП занимает особое место. По последним эпидемиологическим данным более 850 миллионов человек во всем мире страдают ХБП, а медианная распространенность ХБП среди взрослого населения составляет 9,5% (межквартильный размах: 5,9-11,7%) [2].
Несмотря на то, что лишь 2% случаев терминальной почечной недостаточности обусловлены урологическими заболеваниями, включая обструктивную уропатию, из-за высокой распространенности ХБП в популяции вклад урологической патологии в ее структуру может достигать более 20 миллионов человек [3-6]. ДГПЖ описывается как распространенный клинический синдром у пожилых мужчин, характеризующийся нарушением оттока мочи из мочевого пузыря, симптомами нарушения функции нижних мочевых путей (СНМП) и увеличением предстательной железы [7]. При этом 25% мужчин в возрасте от 50 до 79 лет имеют нарушение оттока мочи из мочевого пузыря и СНМП [8].
Таким образом, несмотря на то, что как ДГПЖ, так и хроническая почечная дисфункция являются широко распространенными состояниями, негативно влияющими на качество жизни и ухудшающими общий прогноз у пожилых мужчин, взаимосвязь между этими заболеваниями до сих пор остается недостаточно определенной. Предыдущие исследования дают противоречивые результаты и расходятся в оценке взаимосвязи между объемом остаточной мочи мочи (ООМ) и прогрессирующим снижением скорости клубочковой фильтрации (СКФ) у пациентов с гиперплазией предстательной железы. ХБП является распространенным заболеванием среди пожилых людей, и ее лечение является важнейшей проблемой общественного здравоохранения для профилактики почечной недостаточности и сердечно-сосудистых заболеваний [9-12]. С другой стороны, ДГПЖ является широко распространенным заболеванием, поражающим более 50% мужчин старше 65 лет, а нарушение функции почек является хорошо описанным ее осложнением [4-6]. Однако, несмотря на высокую распространенность ХБП и ДГПЖ у пожилых мужчин, существует ограниченное количество знаний о связи между этими двумя состояниями.
Одним из параметров, отражающих наличие функциональных нарушений мочеиспускания, является ООМ [13]. Тем не менее, абсолютное значение ООМ не учитывает индивидуальные особенности пациента, такие как общий объем мочевого пузыря, что существенно снижает его прогностическую ценность [14-16]. Показатель ООМ характеризуется высокой вариабельностью между повторными измерениями, а также недостаточной клинической точностью: четкие пороговые значения для диагностики или принятия решений о лечении не установлены [17-20]. Так диагностическая точность ООМ низка: при использовании порогового значения 50 мл, положительная прогностическая ценность для диагностики инфравезикальной обструкции составляет 63%, а отрицательная – 52% [21]. Это делает показатель ООМ спорным инструментом в рутинной клинической практике.
В этой связи возрастающий интерес представляет коэффициент, рассчитанный на основе количества остаточной мочи после мочеиспускания – коэффициент опорожнения мочевого пузыря (КОМ) – в англоязычной литературе Post-Void Residual Urine Ratio (PVR-R), определяемый как отношение объема остаточной мочи к общему объему мочевого пузыря [22]. Этот показатель позволяет учитывать индивидуальные анатомо-функциональные особенности пациентов и потенциально обеспечивает более точную оценку нарушения функции мочевого пузыря. В настоящее время отсутствуют стандартизированные подходы к применению КОМ в диагностике и стратификации риска ХБП, а также недостаточно данных о его диагностической и прогностической значимости.
Таким образом, изучение КОМ, определение его клинически значимых пороговых значений и сопоставление предиктивной ценности с традиционным ООМ представляют собой перспективные направления, способные повысить эффективность диагностики и мониторинга ХБП у пациентов с гиперплазией предстательной железы.
Цель исследования – oценить взаимосвязь между функциональным состоянием почек и двумя уродинамическими показателями – объемом остаточной мочи (ООМ) и коэффициентом опорожнения мочевого пузыря (КОМ), а также сравнить их диагностическую ценность в выявлении ХБП у пациентов с ДГПЖ.
МАТЕРИАЛЫ И МЕТОДЫ
Проведено одномоментное кросс-секционное исследование на базе ГАУЗ ЯО «Клиническая больница № 9» (г. Ярославль). Исследование одобрено локальным этическим комитетом ФГБОУ ВО «Ярославский государственный медицинский университет» Минздрава России (протокол № 57 от 19.09.2022).
В исследование включены 250 пациентов, находившихся на стационарном лечении или амбулаторном наблюдении, с диагнозом гиперплазия предстательной железы.
Критерии включения:
- Мужчины с клинически и инструментально подтвержденным диагнозом ДГПЖ
- Подписанное информированное согласие на участие в исследовании.
Критерии невключения:
- Активное воспаление мочевыводящих путей или почек.
- Прием нефротоксичных препаратов или недавнее введение йодсодержащего контрастного вещества.
- Злокачественные новообразования любой локализации.
- Тяжелые сопутствующие соматические заболевания, включая длительно текущую артериальную гипертензию, сахарный диабет и подагру.
Характеристика пациентов
В исследование были включены 250 мужчин с диагнозом ДГПЖ, подтвержденным на основании клинических данных и результатов ультразвукового исследования. Средний возраст пациентов составил 66,7±16,2 года. Средний объем предстательной железы по данным ультразвукового исследования (УЗИ) – 45,3±5,8 см³. Выраженность СНМП оценивалась с использованием Международной шкалы суммарной оценки симптомов при заболеваниях предстательной железы (IPSS). Среднее значение по шкале IPSS составило 18,5±5,1 балла, что соответствует умеренной выраженности симптоматики. На момент включения в исследование 56,3% пациентов получали лечение альфа-1-адреноблокаторами, 23% – ингибиторами 5альфа-редуктазы.
Всем пациентам проводилось клинико-лабораторное и инструментальное обследование.
В рамках лабораторной диагностики выполнялись общеклинические анализы крови и мочи в соответствии с действующими стандартами. На основании биохимических показателей крови рассчитывалась СКФ по формуле CKD-EPI (2021), рекомендованной для оценки функции почек у взрослых [2]. СКФ оценивали не менее двух раз с интервалом не менее трех месяцев.
УЗИ почек и мочевого пузыря проводилось с использованием аппарата Mindray DC-40 (КНР). Оценивались следующие параметры:
ООМ (мл) и КОМ (%), рассчитываемый по формуле: КОМ = ООМ / (ООМ + объем выделенной мочи) ×100%.
Для анализа взаимосвязи между параметрами остаточной мочи и функцией почек применялся корреляционный анализ по Спирмену. Сравнение двух корреляционных коэффициентов, рассчитанных на одной и той же выборке, проводилось с использованием теста Стайгера (Steiger’s Z-test). Уровень статистической значимости принимался равным p<0,05.
Оценка диагностической ценности показателей проводилась с применением ROC-анализа (Receiver Operating Characteristic) с расчетом площади под кривой (AUC, Area Under the Curve). Основная диагностическая точка отсечения определялась по индексу Юдена (максимальная сумма чувствительности и специфичности минус единица). Дополнительно определялась точка отсечения, оптимизированная для целей скрининга – с приоритетом чувствительности не менее 85% при допустимой специфичности.
Для сравнения AUC двух коррелированных ROC-кривых, построенных на одной выборке пациентов, использовался тест ДеЛонга (DeLong’s test).
Статистическая обработка данных осуществлялась с использованием программного обеспечения STATISTICA 10.0 (StatSoft Inc., 2011) и Jamovi (модули Psychometric и Post-data analysis).
РЕЗУЛЬТАТЫ
С целью оценки степени связи между СКФ и показателями постмикционного «остатка» был проведен корреляционный анализ. ООМ продемонстрировал умеренную отрицательную корреляцию с СКФ (r = −0,44; p<0,05), тогда как КОМ показал более выраженную связь (r = −0,69; p<0,05). Для статистической проверки значимости различий между двумя полученными коэффициентами корреляции был проведен тест Стайгера (Steiger’s Z-test). Результаты показали наличие статистически значимого различия между двумя корреляциями: значение статистики Z составило 3,68 при уровне значимости p<0,001 (рис. 1).

Рис. 1. Корреляционные кривые зависимости СКФ от ООМ и КОМ
Fig. 1. Correlation curves of the dependence of GFR on the PVR and PVR-R
Это свидетельствует о том, что КОМ (PVR-R) обладает значительно более сильной связью с уровнем СКФ по сравнению с ООМ (PVR).
Проведено сравнение прогностической значимости двух количественных показателей ООМ и КОМ в отношении выявления ХБП, определяемой как снижение СКФ менее 60 мл/мин.
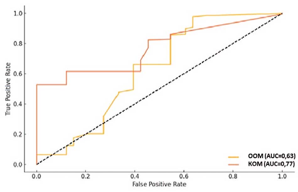
При ROC-анализе установлено, что площадь под кривой (AUC) для КОМ составила 0,77, что соответствует хорошей прогностической способности. Для абсолютного ООМ показатель AUC оказался ниже и составил 0,63, что соответствует слабой прогностической точности (pис. 2).

Рис. 2. ROC-кривые для оценки прогностической способности ООМ и КОМ в выявлении СКФ < 60 мл/мин/1,73 м²
Fig. 2. ROC curves for assessing the predictive ability of PVR and PVR-R in de- tecting GFR < 60 ml/min/1.73 m²
Сравнение ROC-кривых двух маркеров при помощи теста Де Лонга продемонстрировало статистически значимое превосходство показателя КОМ над ООМ (Z = −5,57; p<0,001).
Таким образом, КОМ является более эффективным количественным маркером, чем ООМ, для выявления пациентов, имеющих ХБП.
На основании результатов ROC-анализа были определены оптимальные диагностические пороги для КОМ:
- основная оптимальная точка отсечения, определенная с использованием индекса Юдена, составила 60% (чувствительность – 53%, а специфичность – 100%). Такая точка отсечения позволяет с высокой точностью идентифицировать пациентов с сохраненной функцией почек;
- дополнительная (скрининговая) точка отсечения, ориентированная на достижение высокой чувствительности, составила 25%. Эта точка обеспечила чувствительность 86% и специфичность 45%, что делает ее более подходящей для целей скрининга и первичной диагностики.
ОБСУЖДЕНИЕ
В литературе отсутствует единый консенсус относительно ООМ, который следует считать клинически значимым. Абсолютный показатель ООМ, слабо ассоциированный с нарушением опорожнения мочевого пузыря, не всегда выполняет роль надежного предиктора ХБП [2]. В настоящем исследовании был проанализирован относительный показатель – КОМ, учитывающий как ООМ, так и общий объем мочевого пузыря. Благодаря этому, КОМ позволяет более точно отражать степень нарушений опорожнения мочевого пузыря и может быть сопоставимым между пациентами с различными анатомо-функциональными характеристиками.
Проведенное исследование позволило оценить диагностическую значимость как относительного показателя остаточной мочи (КОМ), так и абсолютного объема остаточной мочи (ООМ) в контексте прогнозирования наличия хронической болезни почек (ХБП), определяемой как снижение скорости клубочковой фильтрации (СКФ) ниже 60 мл/мин/1,73 м².
Корреляционный анализ показал, что КОМ имеет более тесную отрицательную связь с СКФ по сравнению с абсолютным ООМ. Значимость различий подтверждена с использованием Steiger’s Z-теста. Это свидетельствует о большей информативности относительного показателя (КОМ) в оценке влияния уродинамических нарушений на функцию почек.
В рамках ROC-анализа КОМ продемонстрировал значительно более высокую площадь под кривой (AUC = 0,77) по сравнению с абсолютным ООМ (AUC = 0,63) (тест ДеЛонга: Z = −5,57; p<0,001), что свидетельствует о его большей способности различать пациентов с нарушенной и сохранной фильтрационной функцией.
Первоначально оптимальная точка отсечения для КОМ была определена на уровне КОМ=60%, исходя из максимизации индекса Юдена. Такая точка обеспечивала 100% специфичность, однако чувствительность составляла лишь 53%, что недостаточно для задач первичного выявления патологических изменений.
Поскольку ультразвуковое исследование мочевого пузыря является скрининговым методом диагностики, ключевым требованием при выборе диагностического порога становится максимизация чувствительности. При скрининге крайне важно минимизировать количество ложноотрицательных результатов, чтобы не пропустить случаи возможной патологии. Высокая специфичность, напротив, при скрининге имеет вторичное значение.
В связи с этим была выбрана альтернативная скрининговая точка отсечения КОМ = 25%, при которой чувствительность составила 86%, а специфичность – 45%. Такой выбор соответствует основным принципам подбора диагностических порогов в скрининговых исследованиях. Таким образом, в рамках применения ультразвукового метода как инструмента первичного скрининга оптимальной для практического использования является именно точка отсечения КОМ = 25%, обеспечивающая разумный баланс между высокой чувствительностью и приемлемой специфичностью [23, 24].
Полученные данные подтверждают гипотезу о том, что относительный показатель остаточной мочи может быть более клинически значимым маркером обструктивной уропатии и риска прогрессирования ХБП. Использование КОМ в клинической практике может повысить эффективность раннего выявления нарушений и своевременного проведения дополнительных обследований у пациентов с подозрением на обструктивные нарушения мочевыводящих путей.
Таким образом,
- относительный КОМ демонстрирует более сильную и стабильную связь с уровнем СКФ, чем абсолютный ООМ;
- использование КОМ в клинической практике и научных исследованиях может быть предпочтительнее, особенно при необходимости оценки влияния на фильтрационную функцию почек;
- полученные данные свидетельствуют о целесообразности включения КОМ в состав комплексной оценки риска прогрессирования ХБП у пациентов с гиперплазией предстательной железы.
ЗАКЛЮЧЕНИЕ
Коэффициент опорожнения мочевого пузыря демонстрирует более выраженную связь с функцией почек по сравнению с ООМ. Установленная нами пороговая точка ≥25% может быть использована для скрининговой оценки наличия хронической болезни почек у пациентов с нарушенным мочеиспусканием. Это подчеркивает практическую ценность КОМ как доступного предиктора ХБП у пациентов с доброкачественной гиперплазией предстательной железы.
ЛИТЕРАТУРА
- Stevens PE, Ahmed SB, Carrero JJ, Foster B, Francis A, Hall RK, et al. KDIGO 2024 Clinical practice guideline for the evaluation and management of chronic kidney disease. Kidney Int 2024;105(4S):S117-S314. https://doi.org/10.1016/j.kint.2023.10.018.
- Xie K, Cao H, Ling S, Zhong J, Chen H, Chen P, Huang R. Global, regional, and national burden of chronic kidney disease, 1990-2021: a systematic analysis for the global burden of disease study 2021. Front Endocrinol (Lausanne) 2025;16:1526482. https://doi.org/10.3389/fendo.2025.1526482.
- Collins AJ, Foley RN, Herzog C, Chavers B, Gilbertson D, Ishani A, et al. US renal data system 2010 annual data report. Am J Kidney Dis 2011;57(1 Suppl 1):A8, e1-526. https://doi.org/10.1053/j.ajkd.2010.10.007.
- George NJ, O'Reilly PH, Barnard RJ, Blacklock NJ. High pressure chronic retention. Br Med J (Clin Res Ed) 1983;286(6380):1780-3. https://doi.org/10.1136/bmj.286.6380.1780.
- Styles RA, Neal DE, Griffiths CJ, Ramsden PD. Long-term monitoring of bladder pressure in chronic retention of urine: The rela-tionship between detrusor activity and upper tract dilatation. J Urol 1988;140(2):330-4. https://doi.org/10.1016/s0022-5347(17)41595-3.
- Comiter CV, Sullivan MP, Schacterle RS, Cohen LH, Valla SV. Urodynamic risk factors for renal dysfunction in men with obstructive and nonob-structive voiding dysfunction. J Urol 1997;158(1):181-5. https://doi.org/10.1097/00005392-199707000-00059.
- Emberton M, Andriole GL, De LA Rosette J, Djavan B, Hoefner K, Vela Navarrete R, et al. Benign prostatic hyperplasia: A progressive disease of aging men. Urology 2003;61(2):267-73. https://doi.org/10.1016/s0090-4295(02)02371-3.
- Jacobsen SJ, Girman CJ, Guess HA, Oesterling JE, Lieber MM. New diagnostic and treatment guidelines for benign prostatic hyperplasia. Potential impact in the United States. Arch Intern Med 1995;155(5):477-81.
- Foley RN, Murray AM, Li S, Herzog CA, McBean AM, Eggers PW, Collins AJ. Chronic kidney disease and the risk for cardiovascular disease, renal replacement, and death in the United States medicare population, 1998 to 1999. J Am Soc Nephrol 2005;16(2):489-95. https://doi.org/10.1681/ASN.2004030203.
- Go AS, Chertow GM, Fan D, McCulloch CE, Hsu CY. Chronic kidney disease and the risks of death, cardiovas-cular events, and hospitalization. N Engl J Med 2004;351(13):1296-305. https://doi.org/10.1056/NEJMoa041031.
- Sarnak MJ, Levey AS, Schoolwerth AC, Coresh J, Culleton B, Hamm LL, et al. Kidney disease as a risk factor for develop-ment of cardiovascular disease: a statement from the American heart association councils on kidney in cardiovascular disease, high blood pressure research, clinical cardiology, and epidemiology and prevention. Circulation 2003;108(17):2154-69. https://doi.org/10.1161/01.CIR.0000095676.90936.80.
- Shlipak MG, Sarnak MJ, Katz R, Fried LF, Seliger SL, Newman AB, et al. Cystatin C and the risk of death and cardiovascular events among elderly persons. N Engl J Med 2005;352(20):2049-60. https://doi.org/10.1056/NEJMoa043161.
- Abrams P. New words for old: lower urinary tract symptoms for "prostatism". BMJ 1994;308(6934):929-30. https://doi.org/10.1136/bmj.308.6934.929.
- Gravas S, Cornu JN, Drake MJ, Gacci M, Gratzke C, Herrmann TRW, et al. Diagnostic evaluation. In: Gravas S, Cornu JN, Drake MJ, Gacci M, Gratzke C, Herrmann TRW, et al. EAU guidelines on management of non-neurogenic male lower urinary tract symptoms (LUTS), incl. benign prostatic obstruction (BPO). Arnhem, The Netherlands: European Association of Urology; 2018;6-14.
- Asimakopoulos AD, De Nunzio C, Kocjancic E, Tubaro A, Rosier PF, Finazzi-Agrò E. Measurement of post-void residual urine. Neurourol Urodyn 2016;35(1):55-7. https://doi.org/10.1002/nau.22671.
- Ouslander JG, Simmons S, Tuico E, Nigam JG, Fingold S, Bates-Jensen B, et al. Use of a portable ultrasound device to measure post-void residual volume among incontinent nursing home residents. J Am Geriatr Soc 1994;42(11):1189-92. https://doi.org/10.1111/j.1532-5415.1994.tb06987.x.
- Nygaard IE. Postvoid residual volume cannot be accurately estimated by bimanual examination. Int Urogynecol J Pelvic Floor Dysfunct 1996;7(2):74-6. https://doi.org/10.1007/BF01902376.
- Fantl JA, Newman DK, Colling J, DeLancey JOL, Keeys C, Loughery R, et al. Urinary incontinence in adults: acute and chronic management. US. Department of Health and Human Services, Public Health Service, Agency for Health Care Policy and Research (AHCPR); 1996.
- Oelke M, Höfner K, Jonas U, de la Rosette JJ, Ubbink DT, Wijkstra H. Diagnostic accuracy of noninvasive tests to evaluate bladder outlet obstruction in men: detrusor wall thickness, uroflowmetry, postvoid residual urine, and prostate volume. Eur Urol 2007;52(3):827-34. https://doi.org/10.1016/j.eururo.2006.12.023.
- McConnell JD, Roehrborn CG, Bautista OM, Andriole GL Jr, Dixon CM, Kusek JW, et al. The long-term effect of doxazosin, finasteride, and combination therapy on the clinical progression of benign prostatic hyperplasia. N Engl J Med 2003;349(25):2387-98. https://doi.org/10.1056/NEJMoa030656.
- Schäfer W, Abrams P, Liao L, Mattiasson A, Pesce F, Spangber A, et al. Good urodynamic practices: uroflowmetry, filling cystometry, and pressure-flow studies. Neurourol Urodyn 2002;21(3):261-74. https://doi.org/10.1002/nau.10066.
- Rubilotta E, Balzarro M, Trabacchin N, Righetti R, D'Amico A, Blaivas JG, Antonelli A. Post-void residual urine ratio: A novel clinical approach to the post-void residual urine in the assessment of males with lower urinary tract symptoms. Investig Clin Urol 2021;62(4):470-476. https://doi.org/10.4111/icu.20200560
- Sackett DL, Haynes RB, Guyatt GH, Tugwell P. Clinical Epidemiology: A Basic Science for Clinical Medicine. 2nd ed. Little, Brown and Company; 1991.442 p.
- Zhou XH, Obuchowski NA, McClish DK. Statistical Methods in Diagnostic Medicine. 2nd ed. Wiley; 2011. 555 p. https://doi.org/10.1002/9780470906514.

